Normalsichtigkeit, Kurzsichtigkeit und Weitsichtigkeit
4.0 (1 Bewertung)

Keine Sicherheitszeichen gesetzt!
Versuchsziel
In diesem Versuch sollen Normalsichtigkeit, Kurzsichtigkeit und Weitsichtigkeit untersucht werden.
Material
• Modell des menschlichen Auges: Human Eye Model OS-8477A5 von Pasco
• Linsen mit unterschiedlichen Brennweiten: 62 mm, 120 mm und 400 mm
• Schirm aus Kunststoff (Netzhaut)
• Gegenstand: Tablet mit Bild
• Optische Bank mit Aufsatz zur Positionierung des Augapfels auf der optischen Bank
Versuchsaufbau
siehe Skizze

Abb. 1
Abb. 1: Skizze des Versuchsaufbaus zu "Normalsichtigkeit, Kurzsichtigkeit und Weitsichtigkeit".
Durchführung
Der Schirm wird so eingesetzt, dass durch das Modell Normalsichtigkeit modelliert wird. Die entsprechende Position ist mit NORMAL markiert. Die Bildweite 𝑏 wird mithilfe eines Lineals vermessen. Als Augenlinse wird die Linse mit einer Brennweite von 62 mm eingesetzt. Dann wird die Gegenstandsweite solange verändert, bis das Bild auf dem Schirm scharf zu erkennen ist. Brennweite 𝑓 und Gegenstandsweite 𝑔 werden notiert. Die Messung wird für weitere Brennweiten wiederholt. Anschließend wird die Durchführung für die Modellierung eines verlängerten Augapfels (Position: NEAR) und eines verkürzten Augapfels (Position: FAR) wiederholt.
Beobachtung
Bei identischer Modellierung der Brechkraft der Augenlinse können Personen mit einem verlängerten Augapfel Gegenstände im Nahbereich genauso gut erkennen wie Personen mit einem gesunden Augapfel. Allerdings ist scharfes Sehen nur bis zu einer maximalen Gegenstandsweite von etwa 46 cm möglich, was gegenüber der Modellierung eines gesunden Augapfels einen Unterschied von 11 cm macht. Personen mit einem verkürzten Augapfel können wiederum Gegenstände im Fernbereich gut erkennen, allerdings ist scharfes Sehen nur bis zu einer minimalen Gegenstandsweite von etwa 17,5 cm möglich, was gegenüber der Modellierung eines gesunden Augapfels einen Unterschied von 2 cm macht.

Abb. 2
Tabelle 1: Messergebnisse für die Brennweite f und die Gegenstandsweite g bei Modellierung eines gesunden Augapfels.

Abb. 3
Tabelle 2: Messergebnisse für die Brennweite f und die Gegenstandsweite g bei Modellierung eines verlängerten Augapfels.

Abb. 4
Tabelle 3: Messergebnisse für die Brennweite f und die Gegenstandsweite g bei Modellierung eines verkürzten Augapfels.

Abb. 5
Tabelle 4: Messergebnisse für die Bildweite 𝑏 mithilfe eines Lineals.




Ergebnis
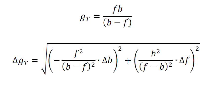
Die theoretische Gegenstandsweite 𝑔_𝑇 wird aus der Abbildungsgleichung (Abb. 2) ermittelt.
Der Vergleich der theoretisch ermittelten Gegenstandsweite 𝑔_𝑇 (Tab. 5, 6 und 7) mit der gemessenen Gegenstandsweite 𝑔 zeigt, dass scharfes Sehen einen größeren Bereich der Positionierung des Gegenstandes erlaubt, als es durch die Abbildungsgleichung vorhergesagt wird. Dies erklärt insbesondere die gemessene Gegenstandsweite von mehr als 90 cm bei Modellierung eines verlängerten Augapfels und Verwendung einer Linse mit einer Brennweite von 400 mm in Tabelle 7. Ebenso ist zu erklären, wieso sich bei Modellierung eines gesunden Augapfels und Verwendung einer Linse mit einer Brennweite von 120 mm in Tabelle 5 dennoch ein Bild ergibt, obwohl sich laut Abbildungsgleichung keine Abbildung ergibt, wenn der Schirm im Brennpunkt der Linse positioniert ist. Schließlich ist zu erkennen, dass die Messunsicherheiten, beispielsweise aufgrund von Paralaxen-Fehlern oder der Fertigungstoleranz der Linsen, für das verwendete Modell einen großen Einfluss haben.
Kurzsichtigkeit entsteht, wenn der Augapfel länger als gewöhnlich ist. In diesem Fall bricht das Licht, welches parallel in das Auge fällt, nicht genau auf der Netzhaut, sondern davor. Kurzsichtige Personen sehen in der Nähe scharf und in der Ferne unscharf.
Weitsichtigkeit entsteht, wenn der Augapfel kürzer als gewöhnlich ist. In diesem Fall bricht das Licht, welches parallel in das Auge fällt, nicht genau auf der Netzhaut, sondern dahinter. Weitsichtige Personen sehen in der Nähe unscharf und in der Ferne scharf.

Abb. 6
Abb. 2: Abbildungsgleichung.

Abb. 7
Tabelle 5: Berechnung der theoretisch erwarteten Gegenstandsweite 𝑔_𝑇,𝑛𝑜𝑟𝑚𝑎𝑙 bei Modellierung eines gesunden Augapfels.

Abb. 8
Tabelle 6: Berechnung der theoretisch erwarteten Gegenstandsweite 𝑔_𝑇,𝑘𝑢𝑟𝑧 bei Modellierung eines verlängerten Augapfels.

Abb. 9
Tabelle 7: Berechnung der theoretisch erwarteten Gegenstandsweite 𝑔_𝑇,𝑤𝑒𝑖𝑡 bei Modellierung eines verkürzten Augapfels.




Tipps und Tricks
• Für die Durchführung des Experiments das Deckenlicht ausschalten und nach Möglichkeit eine drahtlose Bildübertragung einrichten, damit alle Schüler*innen die Veränderungen auf dem Kunststoffschirm (im Modell: der Netzhaut) beobachten können.
• Das Glas der Linsen nicht berühren, sondern immer am Halter bewegen.
• Die Messwerte können sehr gut durch Schüler*innen bestimmt werden.
Kommentare
Erik Kremser
Augenmodell realitätsnah.